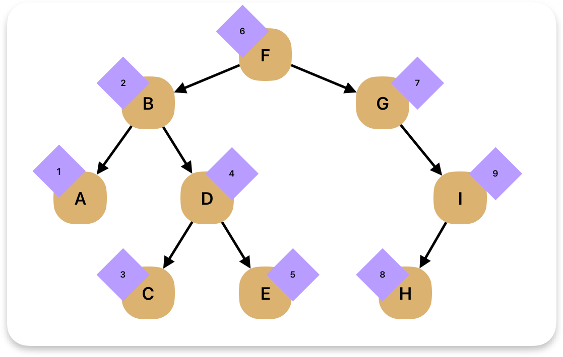
❒ Description
트리 순회란 그래프 순회의 한 형태로 트리 자료구조에서 각 노드를 정확히 한 번 방문하는 과정을 말한다.
그래프 순회와 마찬가지로 트리 순회 또한 DFS 또는 BFS로 탐색하는데, 특히 Binary Tree에서 DFS는
노드의 방문 순서에 따라 크게 3가지 방식으로 구분된다.
오늘은 이 3가지 방식에 대해서 학습해볼 것이다.
❒ 전위 순회 (Pre-Order) : Root > Left > Right
전위 순회는 Root > Left > Right 순으로 노드를 방문하는 방법이다.

더보기
preorder(node)
if (node == null) return
visit(node)
preorder(node.left)
preorder(node.right)
더보기
public void preOrder(TreeNode root) {
if (root != null) {
visit(root);
preOrder(root.left);
preOrder(root.right);
}
}
※ 연관 문제
[LeetCode#783] Minimum Distance Between BST Nodes
[LeetCode#1038] Binary Search Tree to Greater Sum Tree
❒ 중위 순회 (In-Order) : Left > Root > Right
중위 순회는 Left > Root > Right 순으로 노드를 방문하는 방법이다.

더보기
public void inOrder(TreeNode root) {
if (root != null) {
inOrder(root.left);
// root 처리 관련 로직
inOrder(root.right);
}
}
❒ 후위 순회 (Post-Order) : Left > Right > Root
후위 순회는 Left > Right > Root 순으로 노드를 방문하는 방법이다.

더보기
public void postOrder(TreeNode root) {
if (root != null) {
postOrder(root.left);
postOrder(root.right);
// root 처리 관련 로직
}
}
'Algorithm > 내용 정리' 카테고리의 다른 글
| Dutch National Flag (0) | 2024.10.01 |
|---|---|
| Insertion sort (삽입 정렬) (0) | 2024.09.29 |
| Height-Balanced(높이 균형) Binary Tree (0) | 2024.09.22 |
| Dijkstra & Floyd-Warshall (0) | 2024.09.17 |
| Floyd Warshall 알고리즘 (0) | 2024.09.14 |